基于图像分割和局部亮度调整的微光图像颜色传递算法

Low-light image color transfer algorithm based on image segmentation and local brightness adjustment

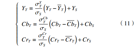
  • 摘要: 为提高微光夜视图像质量,提出一种基于图像分割和局部亮度调整的颜色传递算法。用简单线性迭代聚类结合K均值聚类对微光图像进行分割,在YCbCr颜色空间中利用子区域与参考图像每一个像素点上亮度的一致性,将匹配参考图像的颜色分量传递到目标图像的子区域,以目标图像纹理特征中对比度的值作为系数,调整目标图像子区域的亮度值,进行颜色空间转换并显示颜色传递结果。搭建了微光图像成像系统,进行了微光图像分割及完成了微光图像的颜色传递。结果表明,改进的分割算法将图像中不同的景物分割出来,得到的彩色微光图像的峰值信噪均值达到12.048 dB,比Welsh算法平均提高2.63 dB。

     

    Abstract: In order to improve the quality of low-light night vision images, a color transfer algorithm based on image segmentation and local brightness adjustment was proposed. The simple linear iterative clustering was combined with K-means clustering to segment the low-light image, and the color component of matching reference image was transmitted to the sub-region of target image by using the uniformity for the brightness of each sub-region and reference image in the YCbCr color space. The contrast value in the texture feature of the target image was taken as the coefficient to adjust the brightness value of the sub-region of the target image, perform the color space conversion and display the color transfer results. A low-light image imaging system was built, and the low-light image segmentation and color transfer were completed. The results show that the improved segmentation algorithm separates different scenes in the image, and the peak signal-to-noise mean of the obtained color low-light image reaches 12.048 dB, which is 2.63 dB higher than the Welsh algorithm.

     

/

返回文章
返回