基于锥形多模干涉结构的紧凑型分束器

    Compact beam splitter with tapered multi-mode interference structures

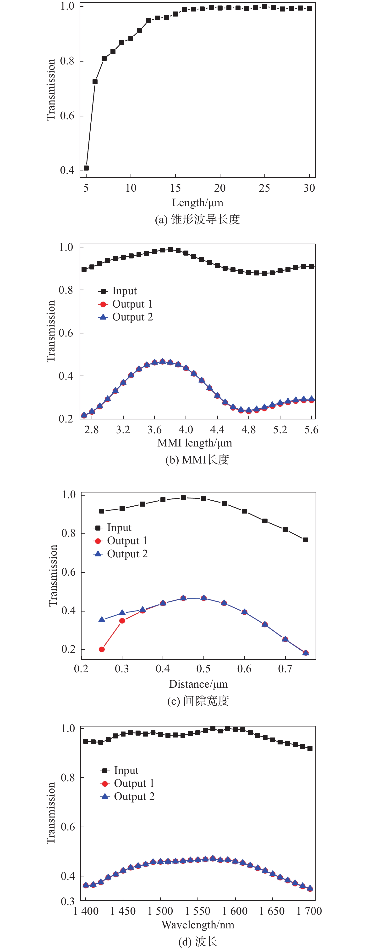
    • 摘要: 紧凑型光分束器对于提升集成光子系统性能或发展新的应用具有重要作用。根据自成像理论,提出一种基于锥形多模干涉结构的紧凑型分束器。首先,采用时域有限差分法对分束器的光学性能进行模拟分析,将传输效率最大化后得到优化的结构参数为:锥形波导长度20 μm,多模干涉波导长度3.8 μm,间隙宽度0.50 μm。然后对采用优化后的结构参数的分束器进行仿真分析。仿真结果表明,在1 480 nm~1 610 nm波长范围内,分束器2个分支的传输损耗优于−3.46 dB,并且2个分支之间的输出能量差小于0.1%。最后,对设计的器件进行加工和实验测试。测试结果表明:在1 581 nm波长上,设计加工的分束器2个通道的损耗达到最小,分别为−2.31 dB和−4.83 dB。该器件结构简单,在集成度、设备制造和低成本方面具有较大优势,在集成光子系统中有较好的应用前景。

       

      Abstract: Compact optical beam splitters are important for enhancing the performance of integrated photonic system or developing new applications. A compact beam splitter based on a tapered multi-mode interference structure was proposed according to the self-imaging theory. Firstly, the optical performance of the beam splitter was simulated by time-domain finite difference method, and the optimized structure parameters were obtained after maximizing the transmission efficiency: the tapered waveguide length was 20 μm, the multi-mode interference waveguide length was 3.8 μm, and the gap width was 0.50 μm. Secondly, the beam splitter with the optimized structure parameters was simulated and analyzed. The results show that in the wavelength range from 1 480 nm to 1 610 nm, each output has a low loss of more than −3.46 dB while the energy difference between the two splitting paths is less than 0.1%. Finally, the designed device structure was processed and experimentally tested. The results show that, at the wavelength of 1 581 nm, the loss of the two channels of the beam splitter reaches the minimum values, which are −2.31 dB and −4.83 dB, respectively. The device has a simple structure and has major advantages in terms of integration, device fabrication and low cost, which has promising applications in integrated photonic systems.

       

    /

    返回文章
    返回