辐射场中NaI(TI)闪烁体探测器响应全过程模拟

Whole-process simulation of NaI (TI) scintillator detector response in radiation field

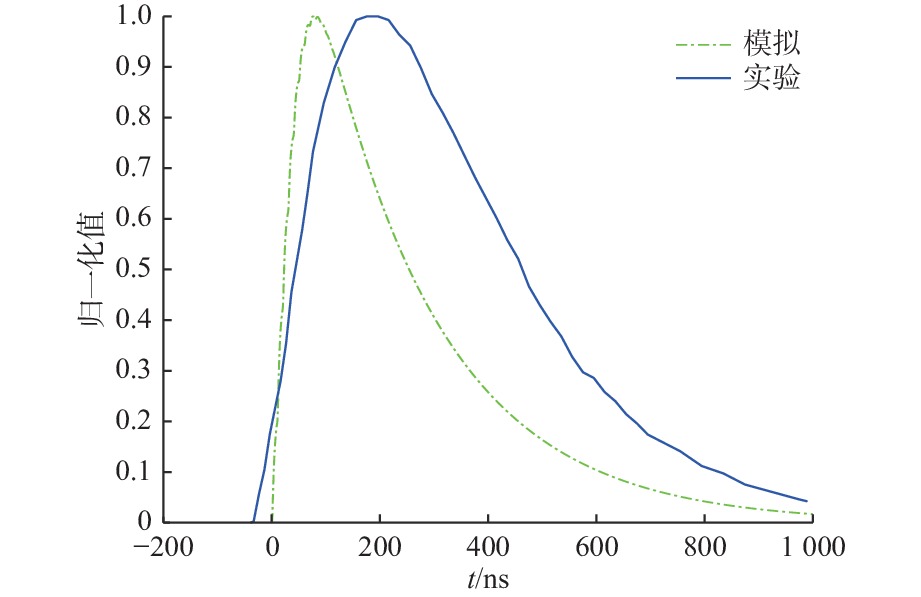
  • 摘要: NaI(TI)探测器是典型的闪烁体辐射探测器,其探测过程涉及辐射能量沉积、可见光信号产生与输运、光电转换与信号处理等物理过程。首先利用蒙特卡罗方法、Birks公式及射线追迹程序,开展了射线粒子在晶体中转为可见光输出过程的计算分析,并结合光电倍增管和信号处理电路的指标参数进行模拟仿真,得出探测器最终输出的脉冲电压信号参数;然后,在137Cs源辐射场中采用Φ50 mm×50 mm NaI(TI)晶体耦合光电倍增管开展实验验证,实验测得探测器输出脉冲信号的上升/下降时间比为0.39,与模拟计算数值0.36相比,相差约7.69%,表明模拟计算模型的输出结果与实测数据基本符合,初步证明了论文的模拟计算模型及计算分析过程的正确性。论文提出的方法,对于深入理解辐射粒子激发的荧光可见光在晶体闪烁体中的传输规律和闪烁体辐射探测器系统的优化设计,具有一定参考意义。

     

    Abstract: NaI (TI) detector is a typical scintillator radiation detector, and its detection process involves radiation energy deposition, generation and transport of visible light signal, photoelectric conversion, signal processing and other physical processes. Firstly, the process of ray particles converting into visible light signal output in crystals was simulated and analyzed by Monte Carlo method, Birks formula and ray tracing program. Combined with the index parameters of photomultiplier tube and signal processing circuit, the pulse voltage signal parameters for the final output of the detector were obtained. Then, the experiment was verified by using Φ50 mm×50 mm NaI (TI) crystal-coupled photomultiplier in 137Cs source radiation field. The experimental results show that the rise/fall time ratio of the output pulse signal of detector is 0.39, which is about 7.69% different than the simulated value of 0.36, indicating that the output results of the simulation calculation model are basically consistent with the measured data, which preliminarily proves the correctness of the simulation calculation model and calculation analysis process. The proposed method is of certain reference significance for deeply understanding transmission law of fluorescent visible light excited by radiation particles in crystal scintillator and optimization design of scintillator radiation detector system.

     

/

返回文章
返回