纳秒脉冲激光诱导CCD探测器铝层金属液-固相变时间特性研究

Liquid-solid phase transition time characteristics of CCD aluminum layer metal induced by nanosecond pulse laser

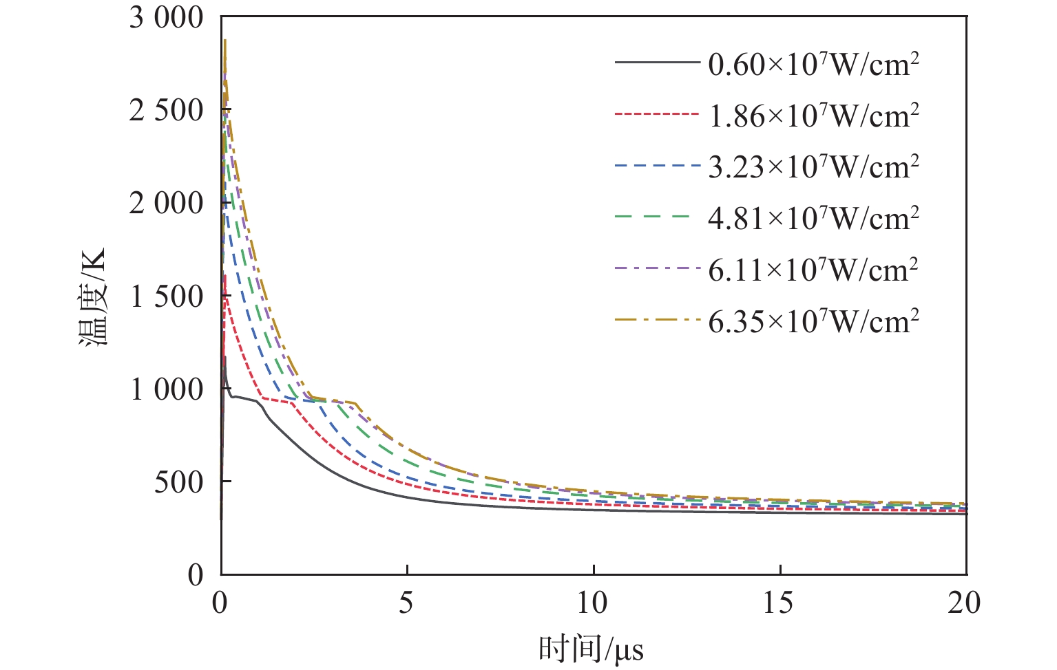
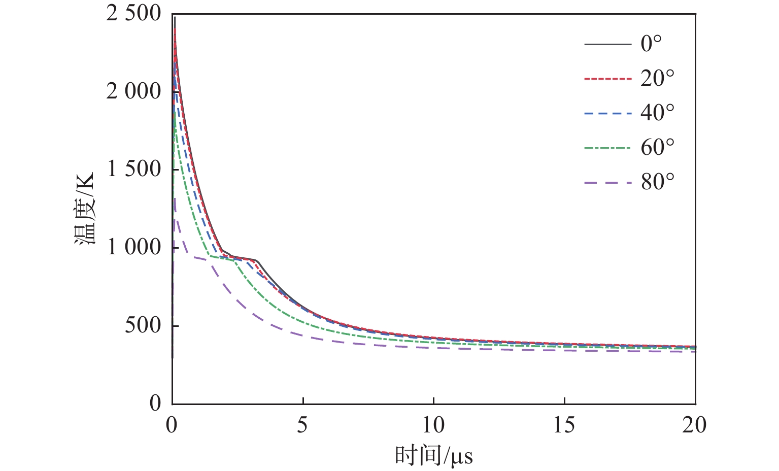
  • 摘要: 从理论仿真计算方面开展了脉冲激光诱导CCD探测器铝层金属温升变化的液-固相变时间特性研究。通过傅里叶热传导方程计算仿真了纳秒激光诱导CCD探测器铝层金属材料的温升曲线,获得了铝层金属材料液-固相变起始时刻和液-固相变时间长度随激光脉冲峰值功率和激光入射角度的变化规律。理论计算结果表明,随着入射激光脉冲峰值功率增加,激光诱导CCD探测器铝层表面的最高温度逐渐升高,铝层材料的液-固相变起始时刻往后延迟,且液-固相变时间长度增加;随激光入射角度的增大,铝层表面的最高温度逐渐降低,液-固相变起始时刻不断前移,而液-固相变时间长度逐渐变短。研究结果表明,激光脉冲峰值功率密度和激光入射角对激光诱导CCD探测器的液-固相变时间特性有重要影响,对揭示纳秒激光诱导CCD探测器的热损伤机制有重要的理论意义。

     

    Abstract: The liquid-solid phase transition time characteristics of temperature rise of aluminum layer metal of CCD detector induced by nanosecond pulse laser were studied from the aspect of theoretical simulation calculation. The temperature rise curve of aluminum layer metal material of CCD detector induced by nanosecond laser was simulated by Fourier heat conduction equation, and the variation rules of the starting time and time length of liquid-solid phase transition of aluminum layer metal material with laser pulse peak power and laser incidence angle were obtained. The theoretical calculation results show that the maximum temperature of the aluminum layer surface of CCD detector gradually increases with the increase of the incident laser pulse peak power, the starting time of the liquid-solid phase transition delays, and the time length increases. The maximum temperature of aluminum layer surface gradually decreases with the increase of the laser incidence angle, the starting time of liquid-solid phase transition moves forward continuously, and the time length becomes shorter. The results show that the laser pulse peak power density and the laser incident angle have important effects on the liquid-solid phase transition time characteristics of CCD detector induced by nanosecond pulsed laser, which has important theoretical significance for revealing the thermal damage mechanism of nanosecond laser induced CCD detector.

     

/

返回文章
返回