一种基于微光夜视系统下光电阴极探测的评价因子

Evaluation factor for photocathode detection in low-level-light night vision system

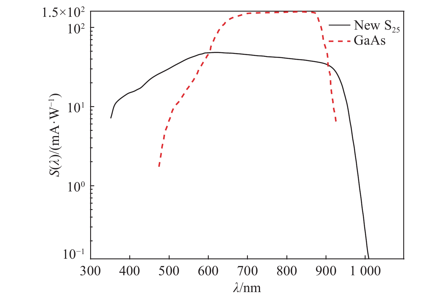
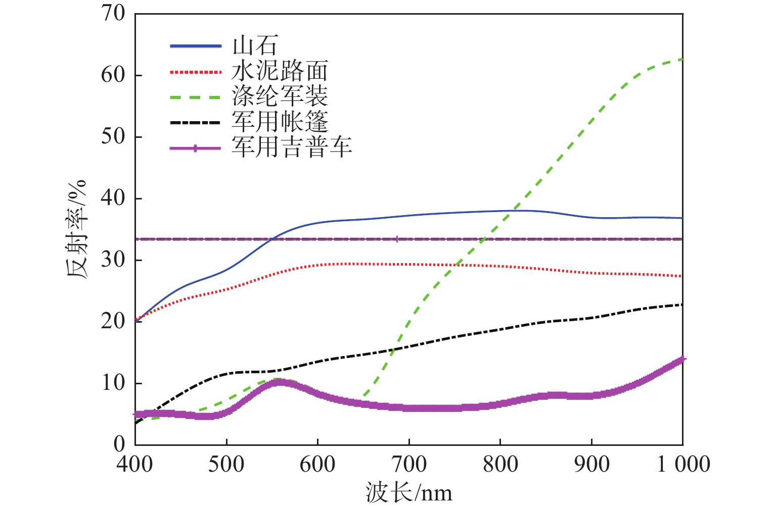
  • 摘要: 光谱匹配系数是微光夜视仪性能评估的重要参数,但传统的光谱匹配系数只能反映出光电阴极在响应波长范围内与目标光谱的吻合程度,并不能区分出不同代的光电阴极在微光夜视系统中的性能。因此,结合初始对比度、光电阴极的积分灵敏度和光谱转换系数建立了一个评价因子方程,用于描述光电阴极对探测景物的影响,同时对目标与背景的初始对比度公式进行改进,提高了初始对比度的准确性。计算超二代光电阴极材料New S25和三代光电阴极材料GaAs与不同景物的光谱匹配系数和评价因子,New S25与景物的光谱匹配系数要大于GaAs与景物的光谱匹配系数,证明了光谱匹配系数的局限性;GaAs与景物的评价因子大于New S25与景物的评价因子,证明了提出的评价因子能够更有效地评估微光夜视系统的性能。

     

    Abstract: Spectral matching factor is an important parameter for the performance evaluation of the low-light-level (LLL) night vision system. However, the traditional spectral matching factor can only reflect the degree of coincidence between the spectrum of the photocathode and the target in the response wavelength range, and cannot distinguish the performance of different generations of photocathode in LLL night vision system. Therefore, an evaluation factor equation was established to describe the effect of the photocathode on the detected scene, combined with the initial contrast, the integrated sensitivity and the spectral conversion coefficient. Meanwhile, the initial contrast formula of the target and the background was improved to increase the accuracy of the initial contrast. The spectral matching factors and the proposed evaluation factors of a super-second generation photocathode material and a third generation photocathode material which named New S25 and GaAs with different targets were calculated. The spectral matching factor between New S25 and the target was greater than that between GaAs and the target, which proved the limitation of the spectral matching factor. The evaluation factor between GaAs and the target was greater than that between New S25 and the target, which proved that the proposed evaluation factor could evaluate the performance of LLL night vision system more effectively.

     

/

返回文章
返回