基于衍射元件的宽光谱紫外中继光学系统研究

Ultraviolet relay optical system with wide spectrum based on diffractive elements

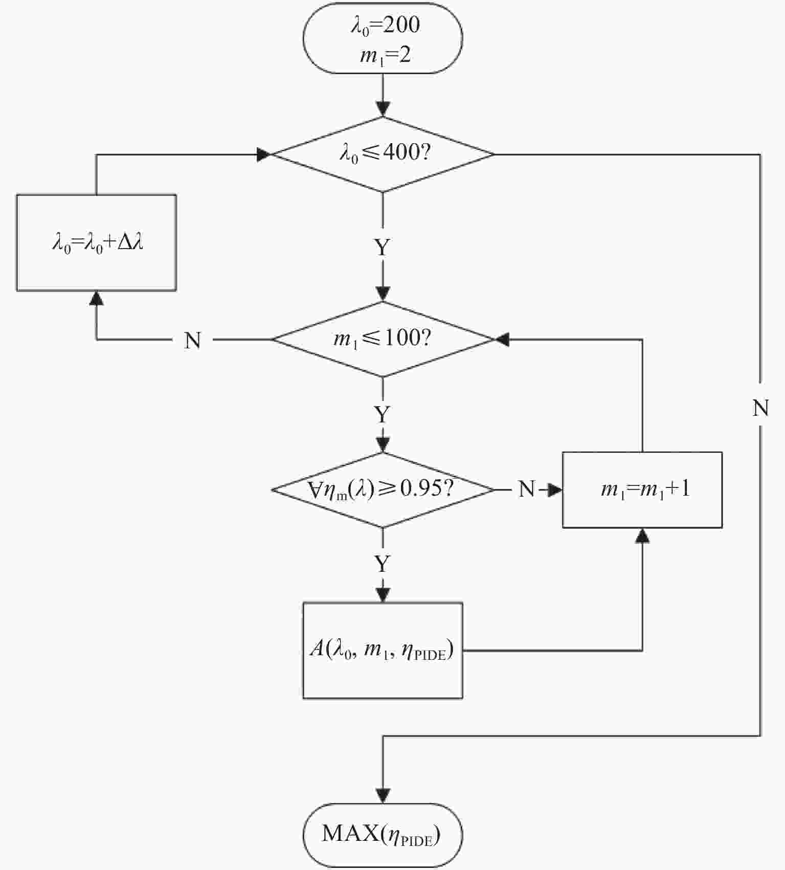
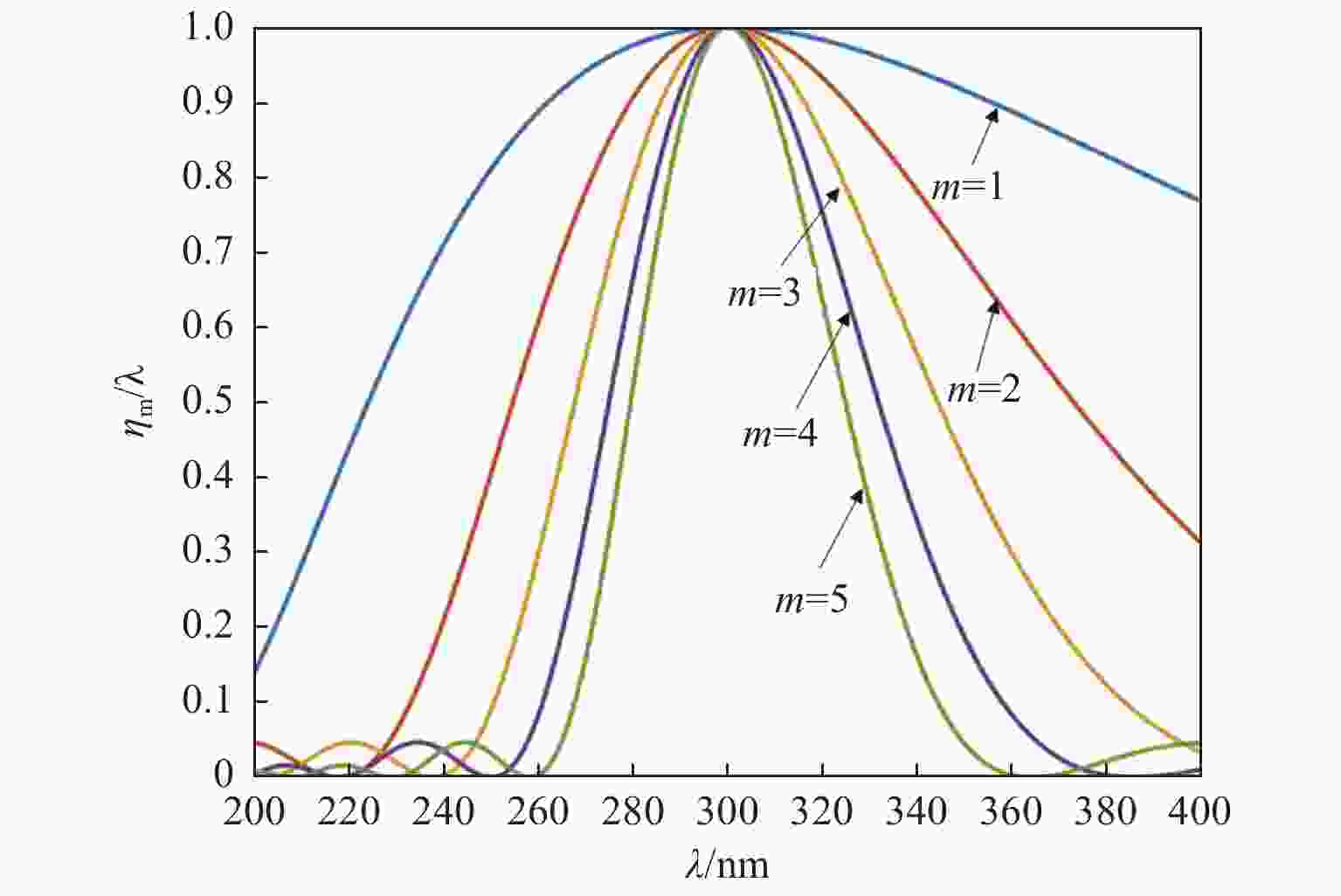
  • 摘要: 紫外像增强器在电晕检测、战略国防、科学研究等领域具有广泛的应用,但由于与其配合使用的紫外光学镜头可用材料匮乏,存在色差校正困难等问题,难以满足宽光谱应用需求。论文分析了单层衍射元件和双层衍射元件在宽波段紫外光学系统中的适用性,并各设计了一套宽光谱、高分辨率的紫外光学系统。单层衍射紫外光学系统的工作波长范围为230 nm~280 nm,在截止频率60 lp·mm−1处调制传递函数(MTF)值优于0.47;双层衍射紫外光学系统的工作波长范围为200 nm~400 nm,在截止频率60 lp·mm−1处MTF值优于0.49。设计结果表明:衍射元件能够有效校正紫外光谱色差,与现有宽光谱紫外系统相比,该文设计的光学系统为中继成像系统,并且具有更宽的紫外光谱范围与更高的成像分辨率。

     

    Abstract: Ultraviolet (UV) image intensifiers are widely used in corona detection, strategic national defense, scientific research and other fields. However, due to the lack of available materials for the UV optical lens and the difficulty of chromatic aberration correction, it is difficult to meet the needs of wide spectrum applications. The applicability of single-layer diffractive optical element (DOE) and double-layer diffractive optical element in broadband UV optical system was analyzed. A set of UV optical system with the wide spectrum and the high resolution were designed respectively. The working wavelength range of the single-layer diffractive UV optical system is 230 nm~280 nm, and the modulation transfer function (MTF) value at the cut-off frequency of 60 lp·mm−1 is better than 0.47. The working wavelength range of the double-layer diffractive UV optical system is 200 nm~400 nm, and the MTF value at the cut-off frequency of 60 lp·mm−1 is better than 0.49. The design results show that the DOE can effectively correct the chromatic aberration of the UV spectrum. Compared with the existing wide spectrum UV system, the designed optical systems are relay imaging systems with wider UV spectral range and higher imaging resolution.

     

/

返回文章
返回