类视网膜阵列结构的光纤相控阵方法研究

    Research on optical fiber phased array method of retina-like array structure

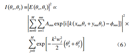
    • 摘要: 出射光束阵列布局对光纤相控阵的高功率激光相干合成性能有着重要影响。针对现有光纤相控方法的阵元间距难以突破半个波长,导致能量合成效率低的问题,提出了类视网膜多环形光纤相控方法,设计了具有圆形对称分布的结构,在保持中心阵元以及最外环阵元位置不变的情况下,通过粒子群算法优化环间其余阵元间距以获得最佳的远场相干合成性能。仿真结果表明,与传统光纤相控方法相比,提出的阵列布局可将能量集中度从0.562提升至0.921,峰值旁瓣水平从0.212压缩至0.043。

       

      Abstract: In an optical fiber phased array, the array layout of the outgoing beam has a crucial influence on the coherent combination performance of high-power lasers. Aiming at the problem of low energy synthesis efficiency caused by the difficulty of breaking through half the wavelength of the existing optical fiber phased array element spacing, a retina-like multi-ring optical fiber phase-control method was proposed, and a circularly symmetrical distribution structure was designed. Keeping the positions of the central array element and the outermost ring array element unchanged, a particle swarm algorithm was used to optimize the spacing of the remaining elements between the rings to obtain the best far-field coherent synthesis performance. The simulation results show that, compared with the traditional optical fiber phase-control method, the energy concentration of the proposed array layout is increased from 0.562 to 0.921, and the peak sidelobe level is compressed from 0.212 to 0.043.

       

    /

    返回文章
    返回