系留升空平台光电探测目标的坐标转换误差分析

Coordinate conversion error analysis of photoelectric detection targets on tethered lift-off platform

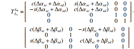
  • 摘要: 系留升空平台的目标定位技术在军民领域中具有广泛的应用,定位精度的高低已成为评价无人机、系留升空平台综合性能的一项重要指标。开展了无人升空平台光电探测系统的精度测试研究,对目标高精度定位误差进行分析,推导出光电探测系统误差转换模型,对误差转换坐标进行仿真验证。运用蒙特卡罗思想, 综合分析了升空载荷光电探测系统中各误差参数对定位精度的影响,提出了提高目标高精度定位精度的改进方法,为无人升空平台光电吊舱的目标定位精度、光电吊舱的高精密设计提供了理论基础。

     

    Abstract: The target orientation technology of tethered lift-off platform has been widely used in the military and civil fields. The orientation performance has become an important index to evaluate the comprehensive performance of unmanned aerial vehicle (UAV) and tethered lift-off platform. The precision test research of photoelectric detection system was carried out, the emphasis was high precision orientation error analyses about the target, the photoelectric detection system error transformation model was deduced, and the error conversion coordinates were verified by simulation. By Monte Carlo thought, the influence of error parameters is analyzed to the orientation accuracy of the photoelectric detection system, and the method about target’s high precision orientation is improved, which provides a theoretical basis for target orientation accuracy and high precision design about photoelectric pod of unmanned lift-off platform.

     

/

返回文章
返回